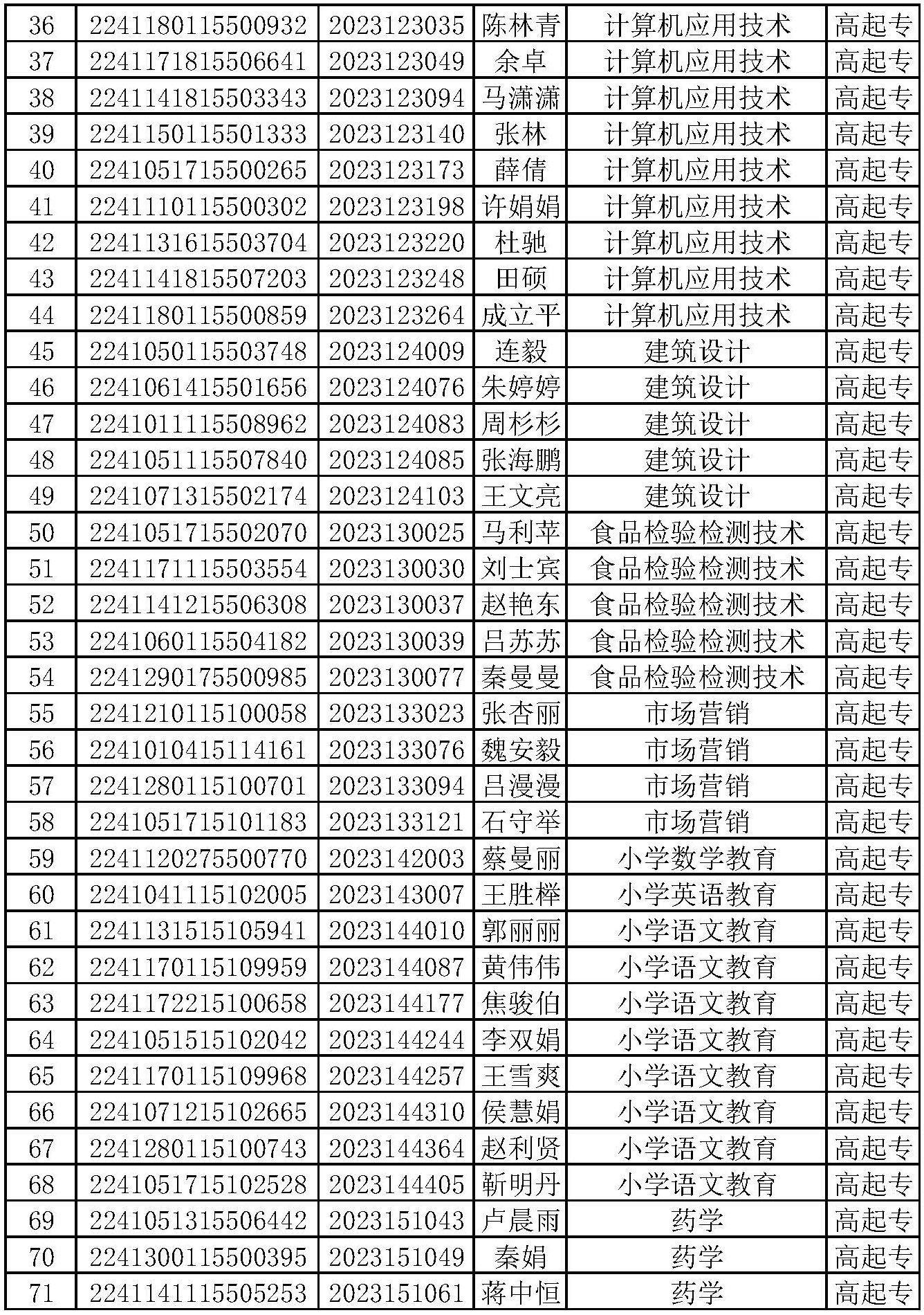
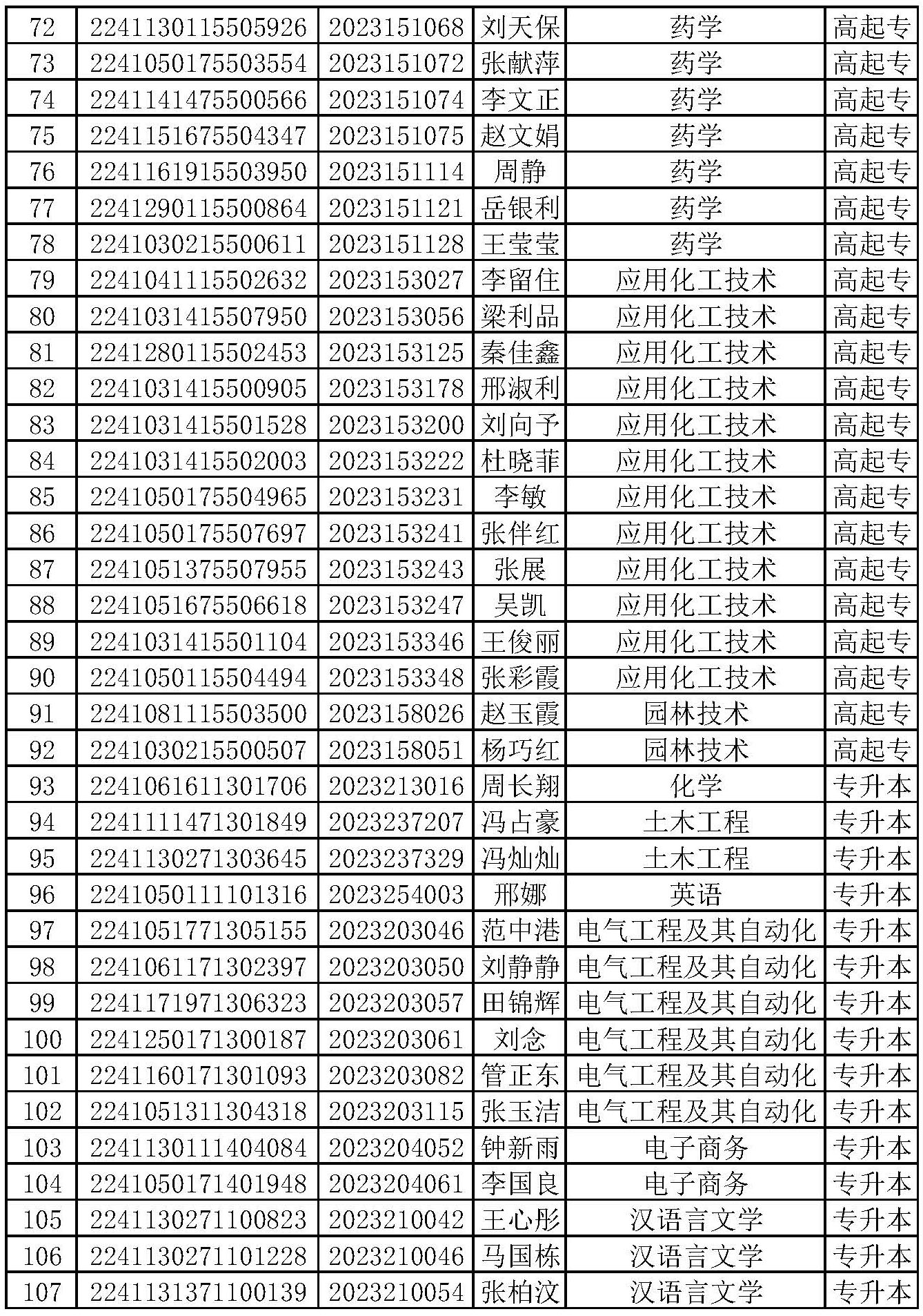
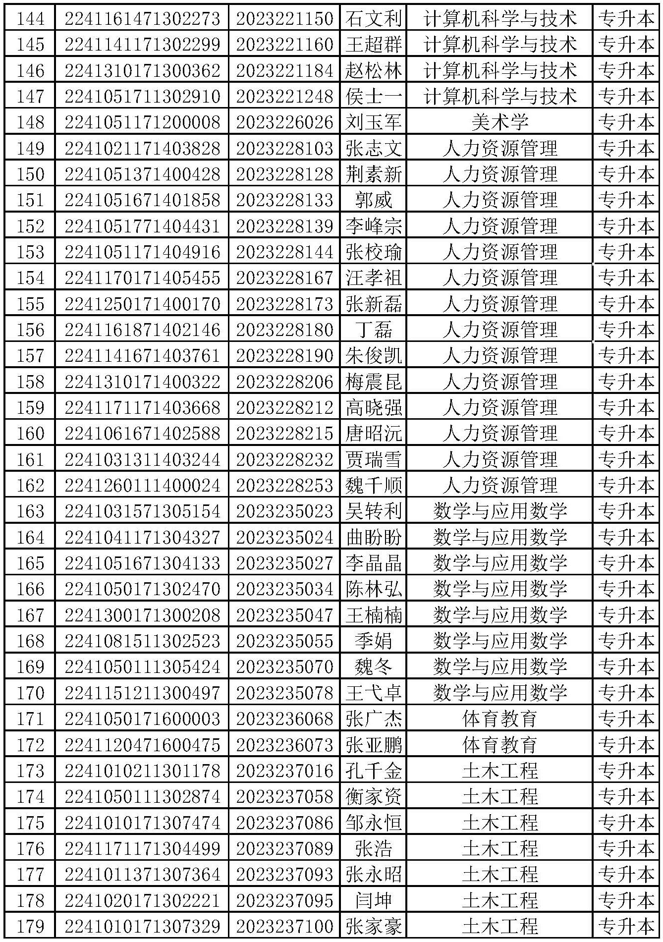
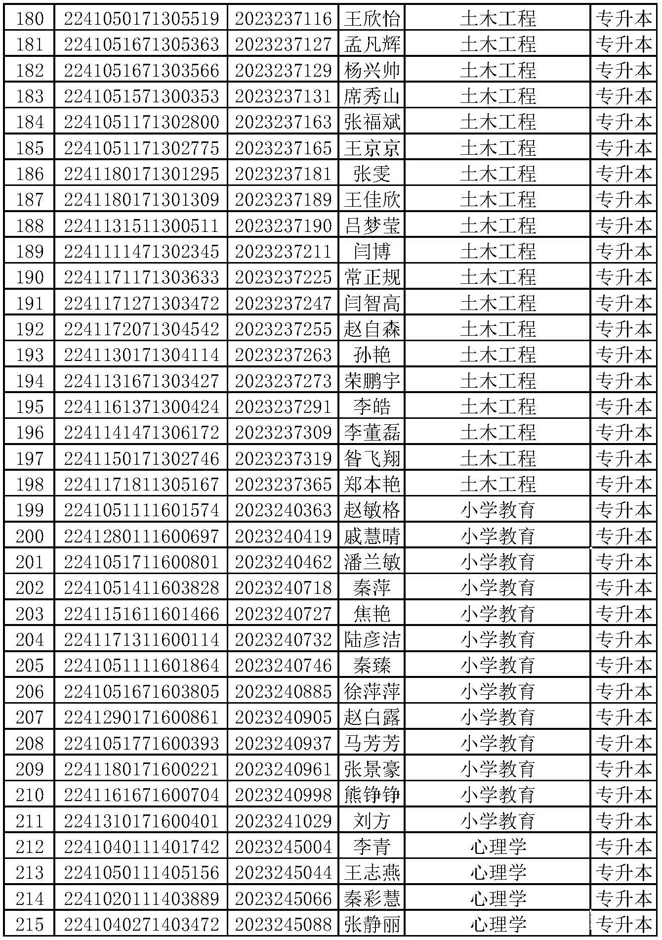
tyc122ccvip高等学历继续教育2023级颜景隆等230名新生,经tyc122ccvip和校外教学点工作人员联系确认后,分属自动放弃入学资格和无法取得联系,以上均属未在规定时间内交费报到注册。
根据教育部《高等公司员工学籍学历电子注册办法》、《河南省教育厅关于做好普通高等公司录取新生入学资格复查和学籍电子注册工作的通知》、《tyc122ccvip成人高等教育员工学籍管理规定》等文件精神,经tyc122ccvip研究,决定取消颜景隆等230名员工2023级高等学历继续教育新生入学资格。
tyc122ccvip高等学历继续教育2023级拟取消入学资格人员公示名单







以上员工如对取消入学资格有异议,请在公告期内,向tyc122ccvip提出申诉;逾期未到校提出申诉者,视为同意公司做出的取消入学资格决定。公告日期自2023年6月6日至2023年6月12日。
联系电话:0373—3682223 学籍科
tyc122ccvip
2023年6月6日